|
|
在選擇泰興減速機的時候經常有人問你們這泰興減速機里面的齒輪模數是多少的?怎么計算呢?今天就來推薦一些比較簡單的方法,希望對你有用!
如圖1所示泵體,要求準確測量13H7孔和9H7孔的距離128:器mm。因兩孔相互垂直,一般方法難以檢測,圖2所示是我們為此專門設計的檢具。檢具中的測頭6以螺紋M2.5與百分我7相速,測頭(圖3)為一直線,便于測量心棒9接急時能將尺寸精確反映在百分表7上。同時要求百分表架4、定位軸1與測量心軸2等距,測量心棒按0.002mm分級。
使用該檢具的測量方法是:選擇與泵體9rmm孔相適的測量心棒9,然后在量具的測量心軸2內插入樣件8,將測量心棒9與定位軸1、樣件8靠緊,百分表的測頭受壓,指針隨之移動,見圖4。百分表對零后,取走樣件,泵體9mm孔插入測量心棒,將泵體放入測量心軸,同時轉動泵體,使得測量心棒靠住定位軸,可出百分表的讀書,限定讀數。
現在介紹一種比較簡單的方法測量齒輪的模數。
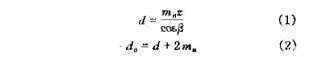
在測繪一個大型斜齒輪軸時,由于軸伸過長及缺乏專用的測量工具,齒根圓直徑無法測得,只測得齒項直徑d。m=112mm,齒數x=16。為計算該齒輪模數,我拓印下部分齒面,測得其螺旋角約為β=15°,根據斜齒輪計算公式,有
式中:d——分度圈直徑
ma——斜齒輪法向模數
由式(1)、式(2)中消去d,則
由標準模數表選標準模數m。=6,由式(2)求得分度圓直徑d=100mm,然后精確求出螺旋角A=16°,15'37”以及其他基本參數。
